Kalendarz imprez na rok 2003
Data
Nazwa
Miejsce
Wyniki
(2003-04-04)
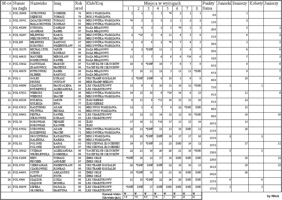
Puchar Elektrowni Rybnik
Rybnik
Pokaż
(2003-05-02)
Memoriał Janusza Kuźwy
Zegrze
Pokaż
(2003-05-15)
Puchar PZŻ
Puck
Pokaż
(2003-05-30)
Memoriał Ottona Weilanda
Charzykowy
Pokaż
(2003-05-31)
Lipno
Czechy
(2003-06-07)
Nove Mlyny
Czechy
(2003-06-12)
Puchar Prezydenta Gdyni
Gdynia
Pokaż
(2003-06-21)
Kieler Woche
Niemcy
Pokaż
(2003-06-27)
Międzynarodowe Mistrzostwa Słowacji
Słowacja
(2003-07-04)
Memoriał Bolesława Knasieckiego
Kiekrz
Pokaż
(2003-07-10)
Puchar Władysławowa
Władysławowo
Pokaż
(2003-07-16)
Mistrzostwa Świata Klasy 420
Wielka Brytania
(2003-07-22)
Zespołowe Mistrzostwa Polski
Władysławowo
(2003-08-02)
Mistrzostwa Europy Juniorów
Grecja
(2003-08-15)
Puchar Starosty Człuchowa
Człuchów
(2003-08-17)
Nationals
Wielka Brytania
(2003-08-21)
Mistrzostwa Polski
Łeba
Pokaż
(2003-08-23)
Nationals
Francja
(2003-08-28)
Mistrzostwa Czech
Czechy
(2003-09-13)
Meczowe Mistrzostwa Polski
Wałcz
(2003-09-22)
Nationals
Belgia
(2003-09-26)
Nationals
Szwajcaria
(2003-10-02)
Puchar Jesieni
Puck
Pokaż
(2003-10-10)
Mistrzostwa Bazy Mrągowo
Mrągowo
Pokaż